Given microbes’ ubiquitous nature, we expect a certain amount of bacteria to be in our kitchens, on items like raw chicken and filthy dish sponges. But there are certain places where finding bacteria is a bit more surprising—for example, in the freezer.
However, a new paper challenges that assumption and may make us pause before we add that “clink” to our drink.
Videos by VICE
A research group surveyed ice cubes that are made and sold for human consumption, also known as “food grade ice,” for the presence of bacteria. In the United States alone, there are 5,600,000 bags of ice sold each year. This ice is used either for direct usage, such as to be placed into drinks, or indirect usage, such as to keep fish cold in the seafood counter of the grocery store.
Sixty samples of ice cubes that were produced at three different levels (domestic, restaurant and industrial facilities) were analyzed. They were thawed and plated for three different types of bacteria; mesophilic bacteria (bacteria that optimally grow in a warm environment, normally around 90 degrees), psychrotrophic bacteria (bacteria that can survive and/or grow in extremely cold temperatures) and pseudomonads (a particular class of bacteria).
Once the bacteria cultured from the ice cubes grew, their DNA was purified and sequenced. There were a total of 1113 bacteria found and the levels of contamination of the ice samples were significantly different among the three ice cube production levels.
Some samples were negative for the presence of psychrotrophic bacteria whereas pseudomonads were found in the majority of ice samples analyzed. The samples produced at domestic level and those collected from bars and pubs had the highest cell densities. Fifty-two strains representing 31 species were identified, with the most numerous groups included in Pseudomonas, Staphylococcus, Bacillus and Acinetobacter. Many of the bacteria found in the ice classify as human pathogens, meaning that they are able to cause infections.
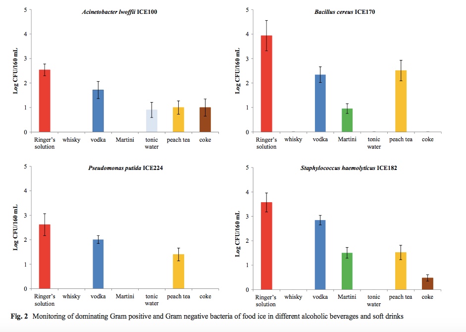
The researchers wondered how likely it is for the contaminated ice cubes to transfer the pathogenic bacteria to humans. To get a sense of the answer, different drinks commonly found at bars (whisky, vodka, Martini, tonic water, peach tea, coke) were tested for their ability to support bacterial growth.
Ice cubes were purposely contaminated with four chosen types of bacteria and the results showed a consistent reduction in the growth of the bacteria in the drinks. This is likely due to the presence of alcohol, CO2, pH and other antibacterial ingredients of vodka, whisky, Martini, peach tea, tonic water and coke. The four bacteria were chosen for survival tests in different liquids (Acinetobacter lwoffii ICE100, Bacillus cereus ICE170, Pseudomonas putida ICE224 and Staphylococcus haemolyticus ICE182).
As can easily be seen in the data below, the bacteria grew very differently in the different solutions, all four of which could grow in vodka and peach tea. However, only one of the four could grow in tonic water and two of the four in Coke. Across the board, nothing grew in whisky.

Is your ice going to make you sick? Probably not. But, it’s good to know what could be potential sources of bacterial contamination in your home. And, the next time that you want to have a scotch, go ahead and throw in the rocks.
Julianna LeMieux is a senior fellow in molecular biology at the American Council on Science and Health, a 501(c)(3) science education organization headquartered in New York City.
This article originally appeared on ACSH.org.
Read This Next: Why Does the First Bite of Ice Cream Taste Better Than the Last?
More
From VICE
-

Screenshot: The Pokémon Company -

Rodney Dangerfield (Photo by Allan Tannenbaum/IMAGES/Getty Images) -

Photo credit: Julia Milona Halewicz -

Screenshot: Team Cherry
